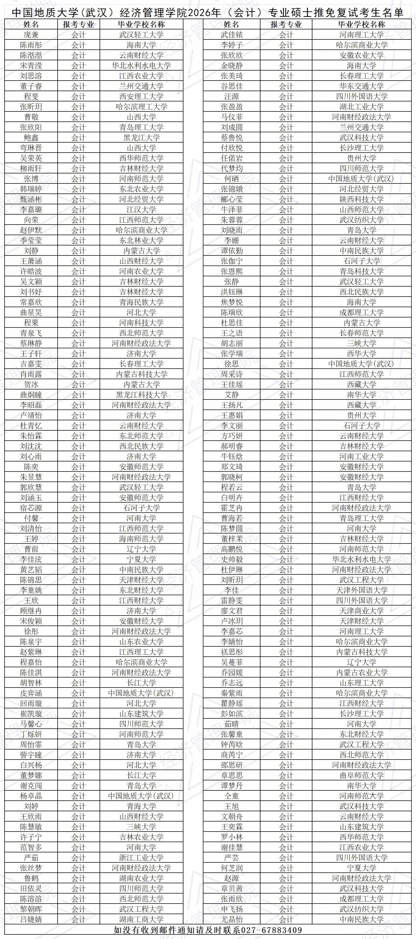
发布人:陈永佳 发布时间:2025-09-19 点击次数:
按照规定,已公示完毕。
伟德国际(victor·1946)源自英国-官方网站|欢迎您 版权所有 地址:湖北省武汉市东湖新技术开发区锦程街68号
电话:027-67883201 邮编:430078
电子邮箱:jgxy@cug.edu.cn
ICP备案号:鄂ICP备05003343号